Lösung Erstelle ein Lineares Gleichungssystem mit Anleitung

Zuletzt geändert von mr79 am 2025/10/01 10:09

Deine zeichnerische Lösung könnte wie folgt aussehen:
Lösung Erstelle ein LGS1
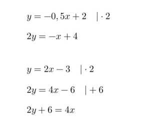
Die Geradengleichungen heißen wie folgt:
\(y=-0,5x+2\)
\(y=2x-3\)
Forme nun beliebig um, hier eine Möglichkeit:
Lösung Erstelle ein LGS2
Ein mögliches LGS
\(2y=-x+4\)
\(2y+6=4x\)