Lösung Lösungsmenge bestimmen
Zuletzt geändert von majaseiboth am 2025/11/17 15:50
- \(x^2-5x+6< 0\)

- \(2x^2-x-6 \geq 0\)

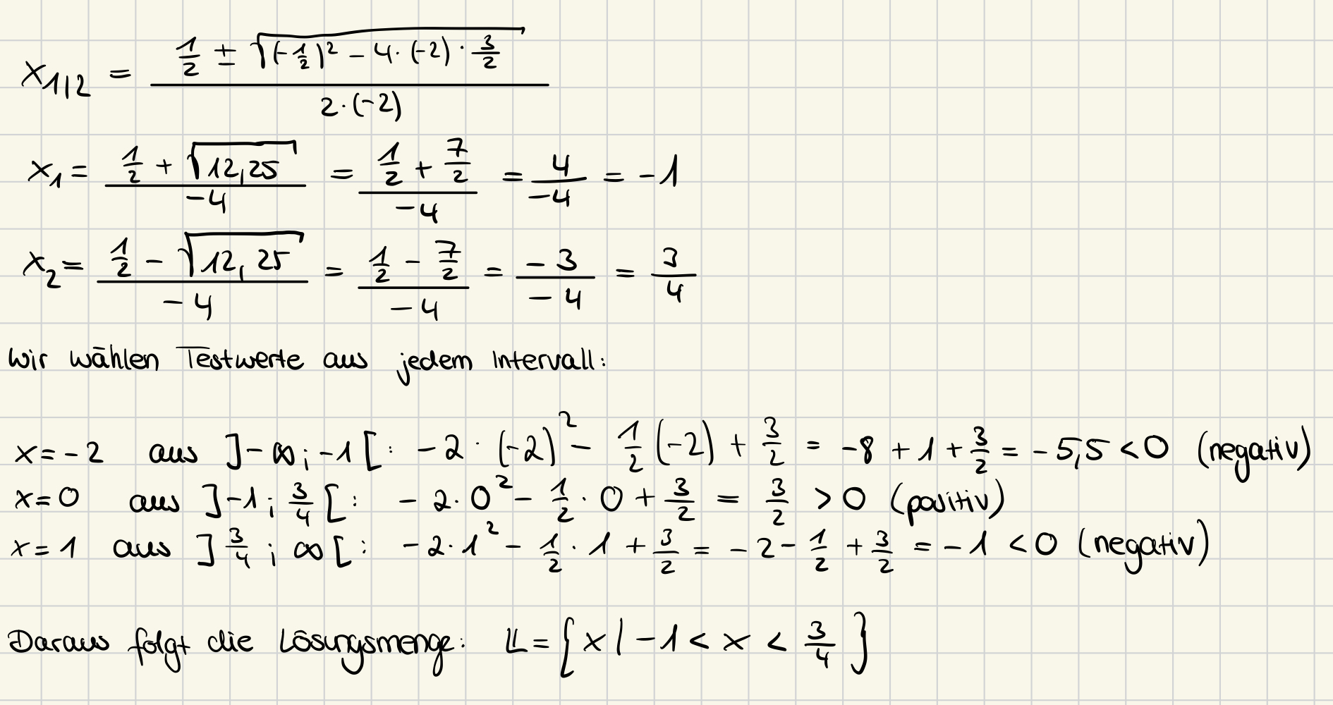
- \(-2x^2- \frac{1}{2}x+ \frac{3}{2} > 0\)

- \(2(x^2+ 2,5x-1)\leq (x-2)²\)





| unfertig | fertig |
| ● ● ● ● ● ● ● | |