Lösung LGS erstellen mit Anleitung

Zuletzt geändert von akukin am 2025/10/27 16:36

Deine zeichnerische Lösung könnte wie folgt aussehen:
Lösung Erstelle ein LGS1
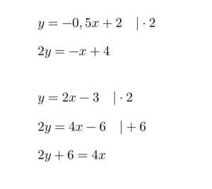
Die Geradengleichungen heißen wie folgt:
\(y=-0,5x+2\)
\(y=2x-3\)
Forme nun beliebig um, hier eine Möglichkeit:
\(\begin{align*} &y=-0,5x+2 &&\mid \cdot 2\\ &2y=-x+4 \\ \phantom{} \\ &y=2x-3 &&\mid \cdot 2\\ &2y=4x-6 &&\mid +6 \\ &2y+6=4x \end{align*}\)

Ein mögliches LGS
\(2y=-x+4\)
\(2y+6=4x\)