Lösung Strategie

Zuletzt geändert von akukin am 2025/10/28 19:37

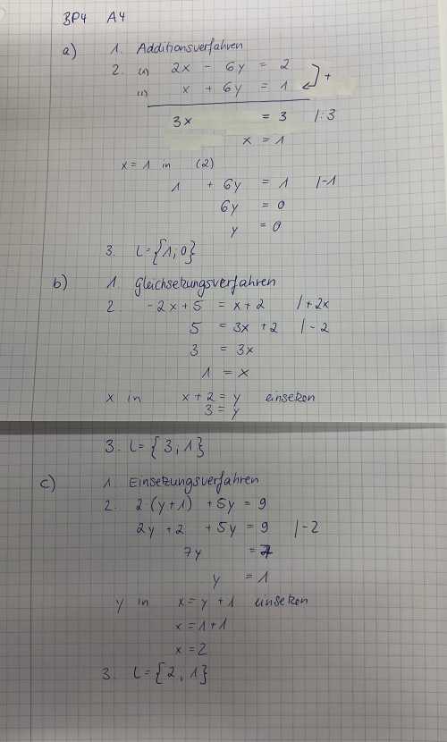
  1. 1. Sinnvolll wäre das Additionsverfahren, da sich die \(y\)-Terme dadurch direkt eliminieren lassen.
    2.
    \[\begin{aligned} & \left. \begin{aligned} (1) \quad 2x - 6y &= 2 \\ (2) \ \ \quad x + 6y &= 1 \end{aligned} \right\} \overset{(1) + (2)}{\implies} \quad \begin{aligned} 3x &= 3 &&\mid :3\\ x &= 1 \end{aligned} \\[1.5em] & \text{Einsetzen von } x=1 \text{ in (2):} \\ & \begin{aligned}[t] 1+6y &= 1 &&\mid -1 \\ 6y &= 0 \\ y &= 0 \end{aligned} \end{aligned}\]
    3. \(\text{L}=\{1;0\}\)
  2. 1. Da beide Gleichungen bereits nach \(y\) aufgelöst sind, bietet sich das Gleichsetzungsverfahren an.
    2.
    \(\begin{align*} -2x+5 &= x+2 &&\mid +2x \\ 5 &= 3x+2 &&\mid -2 \\ 3 &= 3x \\ 1&=x \\ \phantom{} \\ x \ \text{in} \ x+2=y \ \text{einsetzen}: \\ 3&=y \end{align*}\)
    3. \(\text{L}=\{1;3\}\)
  3. 1. Da die erste Gleichung bereits nach \(x\) aufgelösst ist, bietet sich das Einsetzungsverfahren an.
    2. \(\begin{align*} 2(y+1) +5y &=9 \\ 2y+2+5y &= 9 &&\mid -2 \\ 7y &= 7 \\ y&=1 \\ \phantom{} \\ y \ \text{in} \ x=y+1 \ \text{einsetzen}: \\ x&= 1+1 \\ x&=2 \end{align*}\)
    3. \(\text{L}=\{2;1\}\)